2023. 9. 9. 14:53ㆍPublic/Math
IQR = Q3 - Q1
Q1 은 25%(25번째 백분위수) 이고 Q3은 75%(75번째 백분위수) 이다.
관련 기호 정리
https://paper-garden.tistory.com/36
[통계분석] 통계기초 - 수학기호&통계기호
통계 기호 l 상징 기호 이름 의미/정의 P ( x ) 확률 밀도 함수 (pdf-probability density function ) P ( a ≤ x ≤ b ) = ∫ f ( x ) dx P ( A ) 확률 함수 사건 A의 확률 P ( A ∩ B ) 사건 교차 확률 사건 A와 B의 확률 P (
paper-garden.tistory.com

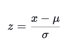
Z-값(Z-Score) 계산
Z-값이란 평균으로부터 표준편차의 몇 배나 떨어져 있는지를 나타낸다.
표춘편차 몇 배만큼 떨어져있는지 계산하면 그것이 z-값이 된다.(표춘편차 * z값의 위치에 있다는 뜻이다.)


μ = 평균(Mean)
σ = 표준편차(Standard deviation)
ex문제)
예를들어 중간고사의 성적 분포는 정규분포이며 평균이 81이고 표준편차가 6.3이다.
즉 -1칸은 74.7일꺼고 +1칸은 87.3일것이다.
65의 z-값을 구해보면 (65가 평균으로부터 얼마나 떨어져 있는지 구해보면)
(65-81) / 6.3
= -16 / 6.3
= -2.54
65점의 z-값은 -2.54이다.
ex2)
83의 z값을 구해보면
(83-81)/6.3
= 2 / 6.3
= 0.317(0.32)
83의 z값은 0.317(0.32) 이다.
ex문제2)
미국 로스쿨에 지원하기 전에 학생들은 LSAT라는 시험을 본다. 의과 대학에 진학하기 위해서는 MCAT라는 시험을 본다.
다음은 각 시험에 대한 통계를 요약한 것이다.
LAST의 평균 점수는 151 , 표준편차는 10
MCAT의 평균은 25.1 표준편차는 6.4이다.
주완이는 두 시험을 모두 보았고 LSAT에는 172점 MCAT에서는 37점을 받았다. 상대적으로 잘 본 시험은 무엇인가?
LAST
172 - 151 / 10
= 21 / 10
= 2.1
MCAT
37 - 25.1 / 6.4
= 11.9 / 6.4
= 1.859
잘본시험은 LAST
'Public > Math' 카테고리의 다른 글
| 각도로부터 전방 벡터 변환 (0) | 2023.07.23 |
|---|---|
| 법선 벡터 계산하기: 외적 (0) | 2023.07.22 |
| 두 벡터 사이의 각도 구하기: 내적 (0) | 2023.07.22 |
| 벡터를 각도로 변환: 아크탄젠트(2D추천) (0) | 2023.07.18 |
| 사인,코사인 활용(탄막슈팅-산탄총) (0) | 2023.02.09 |