2022. 10. 6. 23:36ㆍPublic/Math
정의
만일 A가 m x n 행렬이고 B가 n x p 행렬이면 둘의 곱은 AB가 정의된다. 곱 AB는 하나의 m x p 행렬이다. 이를 C라고 할 때, C의 ij번째 성분은 A의 i번째 행벡터와 B의 j번째 열벡터의 내적이다. 즉,
(식2.1) C(ij) = A(i,*) · B(*,j)
이다. 따라서 행렬 곱 AB가 정의되려면 A의 열수와 B의 행 수와 일치해야 한다. 다른 말로 하면, A의 행벡터의 차원이 B의 열벡터의 차원과 일치해야 하는 것이다. 이 차원들이 일치하지 않으면 식 2.1의 내적이 말이 되지 않는다.
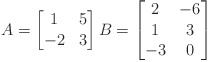
[예시 1]
다음과 같은 행렬들이 있다고 하자.

그러면 곱 AB는 정의되지 않는다. A의 행벡터의 차원은 2지만 B의 열벡터의 차원은 3이기 때문이다. 좀 더 구체적으로, A의 첫 행벡터와 B의 첫 열벡터의 내적을 취할 수가 없다. 2차원 벡터와 3차원 벡터의 내적을 취할 수는 없기 때문이다.
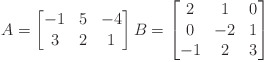
[예시 2]
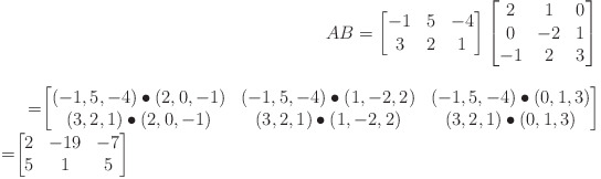
다음과 같은 행렬들이 있다고 하자.

이 경우 곱 AB가 정의된다(그리고 그 곱은 하나의 2 x 3 행렬이다). A의 열 수와 B의 행 수가 같기 때문이다. 식 2.1을 적용하면 다음이 나온다.

곱 BA는 정의되지 않음을 주목하기 바란다. B의 열 수와 A의 행 수가 같지 않기 때문이다.
이 예에서 보듯이, 일반적으로 행렬 곱셈에는 교환법칙이 성립하지 않는다. 즉. AB != BA이다.
벡터와 행렬의 곱셈
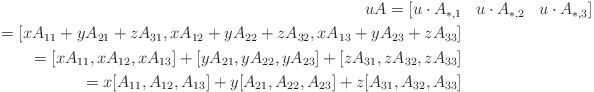
다음과 같은 벡터/행렬 곱셈을 생각해 보자.

이 경우 uA가 1 X 3 행벡터로 평가됨을 주목하기 바란다. 이제 식 2.1을 적용하면 다음이 나온다.

따라서

이다.
일차결합(linear combination, 선형결합)의 한 예로, 벡터/행렬 곱 uA가 행렬 A의 행들의 일차결합에 벡터 u에서 비롯된 스칼라 계수 x,y,z가 적용된 것임을 말해 준다. 여기에서는 1 x 3 행벡터와 3 x 3 행렬을 예로 들었지만, 앞의 문장은 일반적으로도 참임을 주목할 것, 어떤 1 x n 행벡터 u와 어떤 n x m 행렬 A에 대해, 곱 uA는 A의 행벡터들의 일차결합에 u의 스칼라 계수들이 적용된 것이다.
결합법칙
행렬 곱셈에는 몇 가지 편리한 대수적 속성들이 존재한다. 예를 들어 행렬 곱셈은 덧셈에 대한 배분법칙을 만족한다.
즉 A(B + C) = AB + AC이고 (A+B)C = AC+BC이다. 더욱 중요한 것은, 행렬 곱셈이 다음과 같은 결합법칙을 만족한다는 것이다. 덕분에 행렬들을 곱하는 순서를 적절히 선택할 수 있다.
(AB)C = A(BC)