행렬의 전치
2022. 10. 6. 23:45ㆍPublic/Math
행렬의 전치(transpose) , 즉 전치행렬은 주어진 행렬의 행들과 열들을 맞바꾼 것을 말한다. 다라서 m x n 행렬의 전치는
n x m 행렬이다. 행렬 M의 전치행렬을

로 표기한다.
다음 세 행렬의 전치행렬을 각각 구해 보자.

위에서 말했듯이, 주어진 행렬의 행들과 열들을 맞바꾸면 된다.

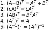
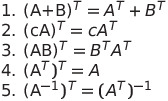
전치행렬에는 다음과 같은 유용한 속성이 있다.

\begin{flushleft}
1. (A+B)^{T} = A^{T}+B^{T}\\
2. (cA)^{T}=cA^{T}\\
3. (AB)^{T} = B^{T}A^{T}\\
4. (A^{T})^{T} = A\\
5. (A^{-1})^{T} = (A^{T})^{-1}\\
\end{flushleft}